Для снабженцев
О компании
Доставка
Справочник
  • Марочник
  • Госты
  • Блог
Контакты
    +7 (800) 250-07-54
    +7 (800) 250-07-54 Бесплатно по России
    E-mail
    info@oboronspecsplav.ru
    Адрес
    Санкт-Петербург, Зольная ул., 15
    Режим работы
    Пн - Пт: с 9:00 до 18:00
    info@oboronspecsplav.ru
    ОБОРОНСПЕЦСПЛАВ
    0 Сравнение
    0 Избранное
    0 Корзина
    0 Сравнение
    0 Избранное
    0 Корзина
    ОборонСпецСплав
    Телефоны
    +7 (800) 250-07-54 Бесплатно по России
    E-mail
    info@oboronspecsplav.ru
    Адрес
    Санкт-Петербург, Зольная ул., 15
    Режим работы
    Пн - Пт: с 9:00 до 18:00
    0
    0
    0
      • Санкт-Петербург
    • 0 Сравнение
    • 0 Избранное
    • 0 Корзина
    • Бренды
    • Марочник
    • Компания
      • Компания
      • О компании
      • Сотрудники
      • Отзывы
      • Карьера
      • Документы
    • Блог
    • Контакты
    +7 (800) 250-07-54 Бесплатно по России
    • Телефоны
    • +7 (800) 250-07-54 Бесплатно по России
    • info@oboronspecsplav.ru
    • Санкт-Петербург, Зольная ул., 15
    • Пн - Пт: с 9:00 до 18:00
    Главная
    Марочник
    Сталь
    Конструкционная сталь
    Сталь 40Х

    Сталь марки 40Х: конструкционная легированная хромистая сталь

    Поиск по марочнику
    • Нержавеющая сталь
    • Сталь
    • Алюминий
    • Титан
    • Бронза
    • Чугун
    • Цинк
    • Латунь
    • Никель
    • Свинец
    • Олово
    • Импортные марки


    Общая характеристика стали 40Х

    Сталь марки 40Х относится к конструкционным легированным среднеуглеродистым хромистым сталям. Этот сплав обладает высокой прочностью, твёрдостью и отличной износостойкостью, однако характеризуется ограниченной пластичностью и повышенной хрупкостью. Благодаря наличию хрома, сталь демонстрирует хорошую коррозионную устойчивость, что позволяет использовать её в агрессивных средах.

    Особенностью стали 40Х является склонность к образованию флокенов (дефектов структуры, которые возникают вследствие наличия водорода и углерода), что может привести к разрывам при обработке и эксплуатации изделий.

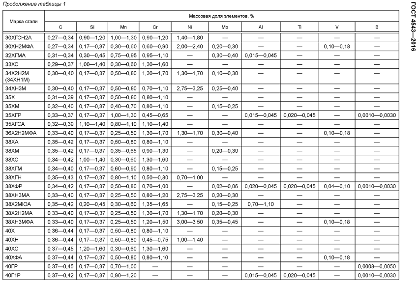
    Химический состав стали 40Х (ГОСТ 4543-2016)

    • Углерод (C): 0,36–0,44%
    • Кремний (Si): 0,17–0,37%
    • Марганец (Mn): 0,5–0,8%
    • Хром (Cr): 0,8–1,1%
    • Сера (S), Фосфор (P), Никель (Ni), Медь (Cu): не более 0,035%
    • Остальное: железо (Fe)

    Расшифровка маркировки «40Х»: цифра 40 обозначает среднее содержание углерода около 0,40%, а буква «Х» указывает на наличие хрома в составе.

    Технологические особенности стали 40Х

    Сплав 40Х характеризуется трудной свариваемостью, однако может быть сварен с помощью следующих способов:

    • Электрошлаковая сварка (ЭШС)
    • Ручная дуговая сварка (РДС)
    • Контактная точечная сварка (КТС)

    При сварке необходим предварительный нагрев и последующая термообработка для предотвращения образования хрупких структур и трещин.

    Режимы термообработки стали 40Х

    • Отжиг: 820–840 °С с медленным охлаждением в печи.
    • Нормализация: 850–870 °С с охлаждением на воздухе.
    • Закалка: 840–875 °С в масле или воде с последующим отпуском при 450–650 °С.

    Механические свойства стали 40Х

    • Предел текучести (σT): 620–785 МПа
    • Временное сопротивление разрыву (σB): 980 МПа
    • Относительное удлинение (δ5): до 10–14%
    • Относительное сужение (ψ): около 45%
    • Ударная вязкость (KCU): до 163 кДж/м²
    • Твердость (HB): 179–269 МПа (в зависимости от способа обработки)

    Физические свойства стали 40Х

    • Плотность: 7820 кг/м³
    • Модуль упругости: 2,03–2,14×10⁵ МПа
    • Коэффициент линейного расширения: 11,9–14,6×10⁻⁶ 1/°C
    • Коэффициент теплопроводности: 26–46 Вт/(м·°C)
    • Удельная теплоёмкость: 466–664 Дж/(кг·°C)

    Сферы применения стали 40Х

    Основными направлениями применения стали 40Х являются:

    • Машиностроение: изготовление высокопрочных деталей (валы, оси, плунжеры, шестерни, коленчатые и кулачковые валы, шпиндели, полуоси, болты, втулки и другие элементы).
    • Турбиностроение: производство валов, роторов и дисков паровых турбин.
    • Строительство: прочные металлоконструкции, которые эксплуатируются при низких температурах и подвергаются коррозионному воздействию.

    Отечественные и зарубежные аналоги стали 40Х

    Отечественные аналоги: 38ХА, 40ХН, 40ХР, 40ХС, 40ХФ, 45Х.

    Зарубежные аналоги представлены в стандартах:

    • Германия (DIN): 37Cr4, 41Cr4, 1.7034, 1.7035, 1.7045
    • США (AISI): 5135, 5140
    • Япония (JIS): SCr435, SCr440
    • Китай (GB): 40Cr, 45Cr

    Формы поставки стали 40Х

    • Круг стальной: используется для изготовления валов и осей.
    • Квадрат стальной: применим в производстве деталей высокой коррозионной стойкости.
    • Лист стальной: используется для изготовления корпусов машин, деталей оборудования.
    • Полоса стальная: применяется в машиностроении и для производства крепежного инструмента.
    • Трубы: востребованы в турбиностроении и энергетике.

    Заключение

    Сталь марки 40Х является универсальным конструкционным материалом, востребованным благодаря своей прочности, коррозионной стойкости и высоким эксплуатационным характеристикам. Несмотря на трудности сварки и склонность к образованию флокенов, правильное соблюдение технологических режимов позволяет широко использовать её в ответственных отраслях машино- и приборостроения, а также в строительстве сложных инженерных конструкций.

    Скачать ГОСТ ГОСТ 4543-2016



    Каталог
    Акции
    Бренды
    Блог
    Условия оплаты
    Условия доставки
    Контакты
    Гарантия на товар
    Реквизиты компании
    Подписаться
    на новости и акции
    Связаться с нами
    +7 (800) 250-07-54
    +7 (800) 250-07-54 Бесплатно по России
    E-mail
    info@oboronspecsplav.ru
    Адрес
    Санкт-Петербург, Зольная ул., 15
    Режим работы
    Пн - Пт: с 9:00 до 18:00
    info@oboronspecsplav.ru
    Санкт-Петербург, Зольная ул., 15
    Конфиденциальность
    Оферта
    © 2026 ОборонСпецСплав

    На информационном ресурсе применяются рекомендательные технологии.

    Все ресурсы сайта spb.oboronspecsplav.ru, включая (но не ограничиваясь) текстовую, графическую, фотографическую и видео информацию, структуру, дизайн и оформление страниц, доменное имя, фирменное наименование являются объектами авторского права и прав на интеллектуальную собственность, защищены российским законодательством и международными соглашениями об охране авторских прав. Запрещается любое использование содержания страниц и контента данного сайта на других площадках без предварительного согласия правообладателя. Запрещаются любые иные действия, в результате которых у пользователей Интернета может сложиться впечатление, что представленные материалы не имеют отношения к spb.oboronspecsplav.ru.

    Главная Каталог 0 Корзина Акции Контакты Компания Услуги Бренды Отзывы Реквизиты Блог 0 Сравнение 0 Избранные
    ОборонСпецСплав
    • Каталог
    • Марочник